قسم الرياضيات سنة ثانية ثانوي - الصفحة 64 - منتديات الجلفة لكل الجزائريين و العرب

العودة   منتديات الجلفة لكل الجزائريين و العرب > منتديات التعليم الثانوي > منتدى السنة الثانية ثانوي 2AS > المواد العلمية و التقنية

المواد العلمية و التقنية كل ما يخص المواد العلمية و التقنية : الرياضيات - العلوم الطبيعة والحياة - العلوم الفيزيائية - الهندسة المدنية - هندسة الطرائق - الهندسة الميكانيكية - الهندسة الكهربائية - التسيير المحاسبي و المالي - تسيير و اقتصاد

في حال وجود أي مواضيع أو ردود مُخالفة من قبل الأعضاء، يُرجى الإبلاغ عنها فورًا باستخدام أيقونة تقرير عن مشاركة سيئة ( تقرير عن مشاركة سيئة )، و الموجودة أسفل كل مشاركة .

آخر المواضيع

قسم الرياضيات سنة ثانية ثانوي

إضافة رد
 
أدوات الموضوع انواع عرض الموضوع
قديم 2017-04-03, 18:05   رقم المشاركة : 946
معلومات العضو
طيف الملاك¤اماني¤
عضو متألق
 
الصورة الرمزية طيف الملاك¤اماني¤
 

 

 
إحصائية العضو










افتراضي


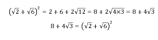
استاذ وجدت هذا الحل لكنني لم افهمه
ارجو منك ان تفهمني فيه









 


رد مع اقتباس
قديم 2017-04-03, 18:32   رقم المشاركة : 947
معلومات العضو
fadiiii
عضو فعّال
 
الصورة الرمزية fadiiii
 

 

 
إحصائية العضو










افتراضي

4+8جذر3 اكتبهالي يا استاذ
على شكل حاجة مربع









رد مع اقتباس
قديم 2017-04-03, 19:06   رقم المشاركة : 948
معلومات العضو
حمتات
عضو فعّال
 
إحصائية العضو










افتراضي

اقتباس:
المشاركة الأصلية كتبت بواسطة fadiiii مشاهدة المشاركة
4+8جذر3 اكتبهالي يا استاذ
على شكل حاجة مربع
هذه العلاقة تحفظ لأنه يصعب في بعض الأحيان ايجاد المربعات من هذا النوع









رد مع اقتباس
قديم 2017-04-03, 20:15   رقم المشاركة : 949
معلومات العضو
fadiiii
عضو فعّال
 
الصورة الرمزية fadiiii
 

 

 
إحصائية العضو










افتراضي

اقتباس:
المشاركة الأصلية كتبت بواسطة حمتات مشاهدة المشاركة
هذه العلاقة تحفظ لأنه يصعب في بعض الأحيان ايجاد المربعات من هذا النوع
بارك الله فيك استآذ ممكن يعني الطريقة ! لان الاستاذ ممكن تسألني على الطريقة









رد مع اقتباس
قديم 2017-04-04, 14:55   رقم المشاركة : 950
معلومات العضو
ملاك
عضو مميّز
 
الصورة الرمزية ملاك
 

 

 
إحصائية العضو










افتراضي

استاذ من فضلك حل التمرين 77 ص 232 انا في امس الحاجة له من فضلك استاذ اريد الحل في المجال من 0 ال 2p










رد مع اقتباس
قديم 2017-04-04, 18:22   رقم المشاركة : 951
معلومات العضو
حمتات
عضو فعّال
 
إحصائية العضو










افتراضي

اقتباس:
المشاركة الأصلية كتبت بواسطة ملاك مشاهدة المشاركة
استاذ من فضلك حل التمرين 77 ص 232 انا في امس الحاجة له من فضلك استاذ اريد الحل في المجال من 0 ال 2p
حل الأمثلة الأولى
https://mega.nz/#!6lpwUDwC!kkLPpHw57...r-xO-OsnCdbSfU

نتبع نفس الطريقة من أجل باقي الامثلة









رد مع اقتباس
قديم 2017-04-04, 19:40   رقم المشاركة : 952
معلومات العضو
" شاهير خان "
عضو مميّز
 
الصورة الرمزية " شاهير خان "
 

 

 
إحصائية العضو










افتراضي

السلام عليكم يا استاذي العزيز
من فضلك يا استاذي ارجو منك ان تعطيني حل
لهاذه التمارين انا بحاجتها
https://www.3rbz.com/uploads/2610d60574994.jpg
و
https://www.3rbz.com/uploads/7eccb99dfa5b10.jpg
و
https://www.3rbz.com/uploads/064b2f98def11.jpg
في هاذا الموضوع اريد ان اوضح
في التمرين الاول Ac=7 احسست انها غير واضحه و
في التمرين الثالث
احتمال ان يكون العضو المختار من الممرضين هو :
ا) 25 على 60 ب) 5 على 8 ج) 2على 3
التكمله للتمرين الثالث
https://www.3rbz.com/uploads/396302e4d6402.jpg
استاذ انا بحاجه الى الحلول وباققرب وقت ومعضمهم لن نصل لهم يعني الجداء السلمي
الخ لكن اريد الحل لاسباب الخاصه الخ واتمنى ان تعطيني الحل لهم وشكرا لك مسبقا










رد مع اقتباس
قديم 2017-04-04, 19:47   رقم المشاركة : 953
معلومات العضو
ملاك
عضو مميّز
 
الصورة الرمزية ملاك
 

 

 
إحصائية العضو










افتراضي

استاذ من فضلك اريد حل تمرين 78 ص 232 سوال 2 و 3 اظن ان السوال التاني خاطئ متاسفة جدا على اكتار الاسئلة










رد مع اقتباس
قديم 2017-04-05, 00:03   رقم المشاركة : 954
معلومات العضو
حمتات
عضو فعّال
 
إحصائية العضو










افتراضي

التمرين الأول و الثاني

https://mega.nz/#!DlgQ0DIZ!1U3VHPxuk...5a6cAEy7m8WxIM


الموضع الثاني
https://mega.nz/#!DwYmzTCQ!PznB8D55Y...dyjgZB5q-3Lq8A










رد مع اقتباس
قديم 2017-04-05, 12:38   رقم المشاركة : 955
معلومات العضو
" شاهير خان "
عضو مميّز
 
الصورة الرمزية " شاهير خان "
 

 

 
إحصائية العضو










افتراضي

للاسفف لم يشتغل معي الروابط
ممكن ان تحملها من مركز تحميل الصور يوجد الكثير
رجاءا واعتذر على الازعاج مشكور جدا










رد مع اقتباس
قديم 2017-04-05, 13:52   رقم المشاركة : 956
معلومات العضو
حمتات
عضو فعّال
 
إحصائية العضو










افتراضي

الموضوع الثاني
https://www.mediafire.com/file/vcx5pd...%86%D9%8A.pdfذ

التمرين الأول و الثاني

https://www.mediafire.com/file/mbgzbh...9%88%D9%84.pdf










رد مع اقتباس
قديم 2017-04-05, 17:21   رقم المشاركة : 957
معلومات العضو
" شاهير خان "
عضو مميّز
 
الصورة الرمزية " شاهير خان "
 

 

 
إحصائية العضو










افتراضي

لك الشكر اخي العزيز










رد مع اقتباس
قديم 2017-04-05, 17:36   رقم المشاركة : 958
معلومات العضو
" شاهير خان "
عضو مميّز
 
الصورة الرمزية " شاهير خان "
 

 

 
إحصائية العضو










افتراضي

لدي سؤال في الموضوع الاول التمرين الثاني
السؤال الخير
المسافة بين a ....................
الاس يجي فوق الجدر ولا غي عند 3-9 على 2










رد مع اقتباس
قديم 2017-04-05, 19:06   رقم المشاركة : 959
معلومات العضو
حمتات
عضو فعّال
 
إحصائية العضو










افتراضي

حل تمرين الإحتمالات




الأس تحت الجذر










رد مع اقتباس
قديم 2017-04-05, 19:42   رقم المشاركة : 960
معلومات العضو
" شاهير خان "
عضو مميّز
 
الصورة الرمزية " شاهير خان "
 

 

 
إحصائية العضو










افتراضي

مشكور لك الاجر










رد مع اقتباس
إضافة رد

الكلمات الدلالية (Tags)
رياضيات 2 ثانوي, سنة ثانية ثانوي


تعليمات المشاركة
لا تستطيع إضافة مواضيع جديدة
لا تستطيع الرد على المواضيع
لا تستطيع إرفاق ملفات
لا تستطيع تعديل مشاركاتك

BB code is متاحة
كود [IMG] متاحة
كود HTML معطلة

الانتقال السريع

الساعة الآن 17:58

المشاركات المنشورة تعبر عن وجهة نظر صاحبها فقط، ولا تُعبّر بأي شكل من الأشكال عن وجهة نظر إدارة المنتدى
المنتدى غير مسؤول عن أي إتفاق تجاري بين الأعضاء... فعلى الجميع تحمّل المسؤولية


2006-2025 © www.djelfa.info جميع الحقوق محفوظة - الجلفة إنفو (خ. ب. س)

Powered by vBulletin .Copyright آ© 2018 vBulletin Solutions, Inc