موضوعنا في الفيزسا أفكار نوعا ما قوية ( منحنى كتلة ) - الصفحة 2 - منتديات الجلفة لكل الجزائريين و العرب

العودة   منتديات الجلفة لكل الجزائريين و العرب > منتديات التعليم الثانوي > منتدى تحضير شهادة البكالوريا 2025 > منتدى تحضير شهادة البكالوريا 2025 للشعب العلمية، الرياضية و التقنية > قسم العلوم التجريبية

في حال وجود أي مواضيع أو ردود مُخالفة من قبل الأعضاء، يُرجى الإبلاغ عنها فورًا باستخدام أيقونة تقرير عن مشاركة سيئة ( تقرير عن مشاركة سيئة )، و الموجودة أسفل كل مشاركة .

آخر المواضيع

موضوعنا في الفيزسا أفكار نوعا ما قوية ( منحنى كتلة )

إضافة رد
 
أدوات الموضوع انواع عرض الموضوع
قديم 2016-11-02, 21:22   رقم المشاركة : 16
معلومات العضو
عمـــآر_10
عضو فعّال
 
الصورة الرمزية عمـــآر_10
 

 

 
إحصائية العضو










افتراضي

ان امكنك الان من فضلك









 


رد مع اقتباس
قديم 2016-11-02, 21:26   رقم المشاركة : 17
معلومات العضو
youyou16dz
عضو مميّز
 
إحصائية العضو










افتراضي

حسنا سأحله لحظة فقط










رد مع اقتباس
قديم 2016-11-02, 22:40   رقم المشاركة : 18
معلومات العضو
youyou16dz
عضو مميّز
 
إحصائية العضو










افتراضي

أني معاه فور حلي له ساضعه










رد مع اقتباس
قديم 2016-11-02, 22:44   رقم المشاركة : 19
معلومات العضو
CHaiMa Misho
عضو مشارك
 
الصورة الرمزية CHaiMa Misho
 

 

 
إحصائية العضو










افتراضي

اتمنى أن تضعي لنا حله
و شكرا لكي مسبقا اختي










رد مع اقتباس
قديم 2016-11-02, 22:48   رقم المشاركة : 20
معلومات العضو
youyou16dz
عضو مميّز
 
إحصائية العضو










افتراضي

أني نحل فيه و دوك شويا نحطو العفو و لو في الخدمة










رد مع اقتباس
قديم 2016-11-02, 22:56   رقم المشاركة : 21
معلومات العضو
CHaiMa Misho
عضو مشارك
 
الصورة الرمزية CHaiMa Misho
 

 

 
إحصائية العضو










افتراضي

اذا اردتي ادخلي الى هنا
https://www.twiddla.com/qbj47b
لنتناقش في حله










رد مع اقتباس
قديم 2016-11-02, 23:02   رقم المشاركة : 22
معلومات العضو
youyou16dz
عضو مميّز
 
إحصائية العضو










افتراضي

أختي كي نكمل نبعث الحل باسكو راني نكتب فيه أوكي ؟










رد مع اقتباس
قديم 2016-11-03, 00:09   رقم المشاركة : 23
معلومات العضو
youyou16dz
عضو مميّز
 
إحصائية العضو










افتراضي

هاهو واش قدرنتلو غدوة نكمللكم بالتوفيق و لا تنسونا من صالح دعائكم تصبحون على خير









الصور المرفقة
نوع الملف: jpg 14971167_325971051105261_1853033349_n.jpg‏ (91.7 كيلوبايت, المشاهدات 10)
نوع الملف: jpg 14962457_325971444438555_1585443973_n.jpg‏ (84.0 كيلوبايت, المشاهدات 8)
نوع الملف: jpg 14885911_325971687771864_19102905_n.jpg‏ (92.8 كيلوبايت, المشاهدات 6)
نوع الملف: jpg 14914508_325971947771838_381084510_n.jpg‏ (87.8 كيلوبايت, المشاهدات 5)
نوع الملف: jpg 14914870_325971987771834_1218372616_n.jpg‏ (84.1 كيلوبايت, المشاهدات 6)

رد مع اقتباس
قديم 2016-11-03, 05:28   رقم المشاركة : 24
معلومات العضو
عمـــآر_10
عضو فعّال
 
الصورة الرمزية عمـــآر_10
 

 

 
إحصائية العضو










افتراضي

لكن اختي بما ان التفاعل تام و xmax = xf
ونحن لدينا من البيان قيمة xfهي 0.015 مول
اذا هي قيمة xmax
لم افهم لما قمتي بالطرح










رد مع اقتباس
قديم 2016-11-03, 06:21   رقم المشاركة : 25
معلومات العضو
salim 97
عضو مميّز
 
الصورة الرمزية salim 97
 

 

 
إحصائية العضو










افتراضي

تمرين جيد يحتاج تركيز عالي










رد مع اقتباس
قديم 2016-11-03, 06:26   رقم المشاركة : 26
معلومات العضو
عمـــآر_10
عضو فعّال
 
الصورة الرمزية عمـــآر_10
 

 

 
إحصائية العضو










افتراضي

اقتباس:
المشاركة الأصلية كتبت بواسطة salim 97 مشاهدة المشاركة
تمرين جيد يحتاج تركيز عالي
السلام عليكم
مازلت لم افهم كيف وجدت xmax
؟ ؟

هل يمكن المساعدة









رد مع اقتباس
قديم 2016-11-03, 06:35   رقم المشاركة : 27
معلومات العضو
prince student
عضو مبـدع
 
الصورة الرمزية prince student
 

 

 
إحصائية العضو










افتراضي

شكرا أختي بارك الله فيك
بالتوفيق إن شاء الله










رد مع اقتباس
قديم 2016-11-03, 06:36   رقم المشاركة : 28
معلومات العضو
عمـــآر_10
عضو فعّال
 
الصورة الرمزية عمـــآر_10
 

 

 
إحصائية العضو










افتراضي

اقتباس:
المشاركة الأصلية كتبت بواسطة youyou16dz مشاهدة المشاركة
هاهو واش قدرنتلو غدوة نكمللكم بالتوفيق و لا تنسونا من صالح دعائكم تصبحون على خير

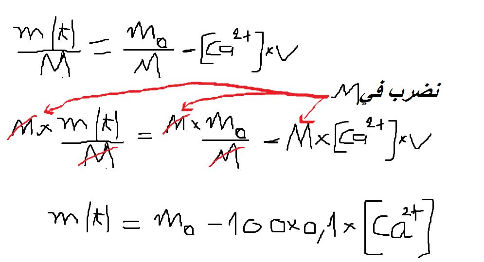
بالنسبة لسؤال الكتلة هاهو جوابه
يجب ان تعوضي اولا بقيمة n t يساوي n0 - x









رد مع اقتباس
قديم 2016-11-03, 15:56   رقم المشاركة : 29
معلومات العضو
youyou16dz
عضو مميّز
 
إحصائية العضو










افتراضي

العفو يا أشبال موفقون بإذن الله نعم صح لازم فيه تركيز ...أخي المنحنى يمثل الكتلة لا التقدم مفهمتش واش مفهمتش بالضبط وين طرحت فهمني من فضلك ...أه حسنا شكررا على التوضيح بارك الله فيك ...قولي واش مفههمتش بالتحديد ؟










رد مع اقتباس
قديم 2016-11-03, 18:55   رقم المشاركة : 30
معلومات العضو
عمـــآر_10
عضو فعّال
 
الصورة الرمزية عمـــآر_10
 

 

 
إحصائية العضو










افتراضي

اقتباس:
المشاركة الأصلية كتبت بواسطة youyou16dz مشاهدة المشاركة
العفو يا أشبال موفقون بإذن الله نعم صح لازم فيه تركيز ...أخي المنحنى يمثل الكتلة لا التقدم مفهمتش واش مفهمتش بالضبط وين طرحت فهمني من فضلك ...أه حسنا شكررا على التوضيح بارك الله فيك ...قولي واش مفههمتش بالتحديد ؟
لم افهم طريقة ايجاد xmax
لان التفاعل تام و xf = xmax









رد مع اقتباس
إضافة رد


تعليمات المشاركة
لا تستطيع إضافة مواضيع جديدة
لا تستطيع الرد على المواضيع
لا تستطيع إرفاق ملفات
لا تستطيع تعديل مشاركاتك

BB code is متاحة
كود [IMG] متاحة
كود HTML معطلة

الانتقال السريع

الساعة الآن 22:42

المشاركات المنشورة تعبر عن وجهة نظر صاحبها فقط، ولا تُعبّر بأي شكل من الأشكال عن وجهة نظر إدارة المنتدى
المنتدى غير مسؤول عن أي إتفاق تجاري بين الأعضاء... فعلى الجميع تحمّل المسؤولية


2006-2024 © www.djelfa.info جميع الحقوق محفوظة - الجلفة إنفو (خ. ب. س)

Powered by vBulletin .Copyright آ© 2018 vBulletin Solutions, Inc