un test d'évaluation 1as -Lycée Chref Larguet - منتديات الجلفة لكل الجزائريين و العرب

العودة   منتديات الجلفة لكل الجزائريين و العرب > منتديات التعليم الثانوي > منتدى السنة الأولى ثانوي 1AS > المواد الأدبية و اللغات

المواد الأدبية و اللغات كل ما يخص المواد الأدبية و اللغات : اللغة العربية - التربية الإسلامية - التاريخ و الجغرافيا -الفلسفة - اللغة الأمازيغية - اللغة الفرنسية - اللغة الأنجليزية - اللغة الاسبانية - اللغة الألمانية

في حال وجود أي مواضيع أو ردود مُخالفة من قبل الأعضاء، يُرجى الإبلاغ عنها فورًا باستخدام أيقونة تقرير عن مشاركة سيئة ( تقرير عن مشاركة سيئة )، و الموجودة أسفل كل مشاركة .

آخر المواضيع

un test d'évaluation 1as -Lycée Chref Larguet

إضافة رد
 
أدوات الموضوع انواع عرض الموضوع
قديم 2015-09-16, 17:56   رقم المشاركة : 1
معلومات العضو
kaouther.kaouther
عضو فعّال
 
الصورة الرمزية kaouther.kaouther
 

 

 
إحصائية العضو










افتراضي un test d'évaluation 1as -Lycée Chref Larguet

السلـــام عليكم و رحمة الله تعالى وبركاته ~
كيف الحال ؟| آمل ان تكونوا بأحسن الاحوال ...
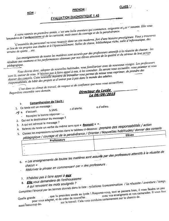
أقدم لكم في هذه المشاركة تقويماً تشخيصيا في اللغة الفرنسية جذع مشترك علوم ~ آملة أن تفيدكم ...
ملاحظة : هذا التقويم ليس لقسمي و لكنه لقسم زميلتي -صوت الحمام- فبورك فيها ~


لا تنسوني من صالح دعائكم أنا و الاخت هديــل ...
و إلى الملتقى ... في رعاية المولى ~









 


رد مع اقتباس
قديم 2015-09-16, 17:58   رقم المشاركة : 2
معلومات العضو
هدى المتفائلة
عضو مميّز
 
الصورة الرمزية هدى المتفائلة
 

 

 
إحصائية العضو










افتراضي

شكرا على المشاركة كوثر
لكن الصورة غير واضحة










رد مع اقتباس
قديم 2015-09-16, 18:00   رقم المشاركة : 3
معلومات العضو
kaouther.kaouther
عضو فعّال
 
الصورة الرمزية kaouther.kaouther
 

 

 
إحصائية العضو










افتراضي

اقتباس:
المشاركة الأصلية كتبت بواسطة *فراشة الربيع* مشاهدة المشاركة
شكرا على المشاركة كوثر
لكن الصورة غير واضحة
العفو ... أهلا بكـ ~ كيف حالك ؟ آمل ان تكوني بخير ...
شكرا لك على الملاحظة ... لقد تم تعديلها ...
بارك الله فيك ~
إبقي بالقرب ... حفظك الله ~









رد مع اقتباس
قديم 2015-09-16, 18:18   رقم المشاركة : 4
معلومات العضو
la vida es bella
عضو مميّز
 
الصورة الرمزية la vida es bella
 

 

 
إحصائية العضو










افتراضي

شكرا...........










رد مع اقتباس
قديم 2015-09-16, 19:02   رقم المشاركة : 5
معلومات العضو
صوت الحمام
عضو مجتهـد
 
الصورة الرمزية صوت الحمام
 

 

 
إحصائية العضو










افتراضي

هههههه شكرا جزيلا ...









رد مع اقتباس
قديم 2015-09-16, 19:53   رقم المشاركة : 6
معلومات العضو
هدى المتفائلة
عضو مميّز
 
الصورة الرمزية هدى المتفائلة
 

 

 
إحصائية العضو










افتراضي

اقتباس:
المشاركة الأصلية كتبت بواسطة kaouther.kaouther مشاهدة المشاركة
العفو ... أهلا بكـ ~ كيف حالك ؟ آمل ان تكوني بخير ...
شكرا لك على الملاحظة ... لقد تم تعديلها ...
بارك الله فيك ~
إبقي بالقرب ... حفظك الله ~
الحمد لله وانت؟
العفو ولو
وفيك بارك الرحمان عزيزتي
إن شاء الله ..... وإياك يارب









رد مع اقتباس
قديم 2015-09-16, 20:07   رقم المشاركة : 7
معلومات العضو
سوسنة المروج
عضو مميّز
 
الصورة الرمزية سوسنة المروج
 

 

 
إحصائية العضو










افتراضي

لك جزيل الشكر اختي بورك فيك
بالتوفيق










رد مع اقتباس
قديم 2015-09-26, 13:12   رقم المشاركة : 8
معلومات العضو
oumaimamimi
عضو جديد
 
إحصائية العضو










افتراضي

شكرا اليكي الاخت كوثر










رد مع اقتباس
قديم 2015-09-26, 13:16   رقم المشاركة : 9
معلومات العضو
oumaimamimi
عضو جديد
 
إحصائية العضو










افتراضي

السلام عليك اخي فراشة الربيع امل ان تكون بخير










رد مع اقتباس
إضافة رد

الكلمات الدلالية (Tags)
d'évaluation, test


تعليمات المشاركة
لا تستطيع إضافة مواضيع جديدة
لا تستطيع الرد على المواضيع
لا تستطيع إرفاق ملفات
لا تستطيع تعديل مشاركاتك

BB code is متاحة
كود [IMG] متاحة
كود HTML معطلة

الانتقال السريع

الساعة الآن 02:51

المشاركات المنشورة تعبر عن وجهة نظر صاحبها فقط، ولا تُعبّر بأي شكل من الأشكال عن وجهة نظر إدارة المنتدى
المنتدى غير مسؤول عن أي إتفاق تجاري بين الأعضاء... فعلى الجميع تحمّل المسؤولية


2006-2025 © www.djelfa.info جميع الحقوق محفوظة - الجلفة إنفو (خ. ب. س)

Powered by vBulletin .Copyright آ© 2018 vBulletin Solutions, Inc