سؤال بسرعة من فضلكم " للجادين " - منتديات الجلفة لكل الجزائريين و العرب

العودة   منتديات الجلفة لكل الجزائريين و العرب > منتديات التعليم الثانوي > منتدى السنة الأولى ثانوي 1AS > المواد العلمية و التقنية

المواد العلمية و التقنية كل ما يخص المواد العلمية و التقنية: الرياضيات - العلوم الطبيعة والحياة - العلوم الفيزيائية - الهندسة المدنية - هندسة الطرائق - الهندسة الميكانيكية - الهندسة الكهربائية - إعلام آلي.

في حال وجود أي مواضيع أو ردود مُخالفة من قبل الأعضاء، يُرجى الإبلاغ عنها فورًا باستخدام أيقونة تقرير عن مشاركة سيئة ( تقرير عن مشاركة سيئة )، و الموجودة أسفل كل مشاركة .

آخر المواضيع

سؤال بسرعة من فضلكم " للجادين "

إضافة رد
 
أدوات الموضوع انواع عرض الموضوع
قديم 2015-01-29, 14:23   رقم المشاركة : 1
معلومات العضو
عمـــآر_10
عضو فعّال
 
الصورة الرمزية عمـــآر_10
 

 

 
إحصائية العضو










456ty سؤال بسرعة من فضلكم " للجادين "

عملنا فرض تع فيزياء اليوم
في السؤال
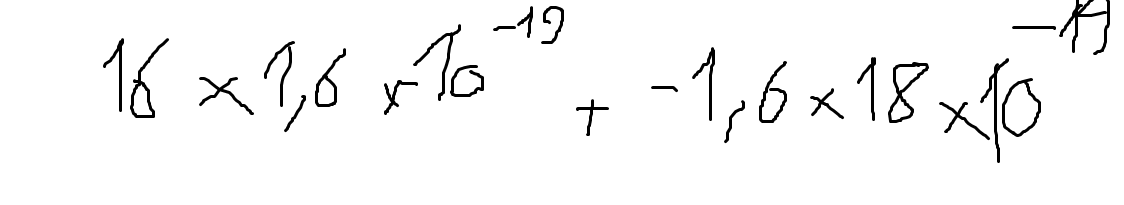
قال اعط رمز شاردة الكبريت s
عملت S-2
ومبعد قالي احسب شحنة الشاردة !

درت

حيث 18 هو عدد الالكترونات بعد الاكتساب
و16 قبل الاكتساب
ضربت 18 في شحنى الالكترون
و16 في شحنة البروتون










 


رد مع اقتباس
قديم 2015-01-29, 17:03   رقم المشاركة : 2
معلومات العضو
جوهرة القلوب
عضو مميّز
 
الصورة الرمزية جوهرة القلوب
 

 

 
الأوسمة
مميزي الأقسام صاحب ثالث أفضل موضوع سنة 2014 
إحصائية العضو










افتراضي


السلام عليكم
اخي الفاضل اذا كنت تريد حساب شحنة الشاردة



بالنسبة لحل سؤالك :
حساب شحنة شاردة ذرة الكبريت [S]



دعواتكم ،،
وفقك الله ||










رد مع اقتباس
قديم 2015-01-29, 17:14   رقم المشاركة : 3
معلومات العضو
عمـــآر_10
عضو فعّال
 
الصورة الرمزية عمـــآر_10
 

 

 
إحصائية العضو










افتراضي

شكرا لك اختي لقد وجدت الحل =)










رد مع اقتباس
قديم 2015-01-29, 17:21   رقم المشاركة : 4
معلومات العضو
جوهرة القلوب
عضو مميّز
 
الصورة الرمزية جوهرة القلوب
 

 

 
الأوسمة
مميزي الأقسام صاحب ثالث أفضل موضوع سنة 2014 
إحصائية العضو










افتراضي

العفو ...من واجبي

،










رد مع اقتباس
إضافة رد

الكلمات الدلالية (Tags)
عاجل


تعليمات المشاركة
لا تستطيع إضافة مواضيع جديدة
لا تستطيع الرد على المواضيع
لا تستطيع إرفاق ملفات
لا تستطيع تعديل مشاركاتك

BB code is متاحة
كود [IMG] متاحة
كود HTML معطلة

الانتقال السريع

الساعة الآن 18:32

المشاركات المنشورة تعبر عن وجهة نظر صاحبها فقط، ولا تُعبّر بأي شكل من الأشكال عن وجهة نظر إدارة المنتدى
المنتدى غير مسؤول عن أي إتفاق تجاري بين الأعضاء... فعلى الجميع تحمّل المسؤولية


2006-2025 © www.djelfa.info جميع الحقوق محفوظة - الجلفة إنفو (خ. ب. س)

Powered by vBulletin .Copyright آ© 2018 vBulletin Solutions, Inc